Home
About us
Products
Packaging
Finished Products
API
Medical Devices
CRDMO
Online message
Contact us
Products
Packaging
Finished Products
API
Medical Devices
CRDMO
Products
Magnesium Series Products
CRDMO
API
pharmaceutical intermediates
Packaging
Finished products
Medical device
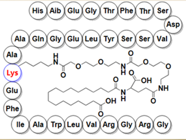
semaglutide